ЕГЭ по математике (профиль). Задание 18. Уравнение с параметром.
Фрагмент занятия по подготовке к ЕГЭ по математике в проекте urokidoma.org
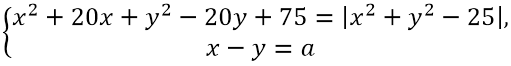
В задании 18 профильного уровня ЕГЭ по математике школьникам предлагается решить задачу с параметром. Такие задания надо уметь решить, особенно если предполагается графический способ решения.
При решении задания 18 ЕГЭ по математике графическим способом нужно построить 2 фигуры, заданные в системе, либо рассмотреть части плоскости, в которой задана некоторая фигура, и определить, при каких значениях параметра выполняется требование задачи. Только теоретических навыков здесь недостаточно, нужно не только построить фигуру, но и разобраться, в какой части плоскости её рассматривать.
Задание: Найти все значения параметра а, при каждом из которых система имеет более 1-го решения:

